Omega-6: sen farmakologia, vaikutus broilerin tuotantoon ja terveyteen
Jul 14, 2023
Lipidit ja öljyt ovat ihmisten ja eläinten terveydelle välttämättömien kerta- ja monityydyttymättömien rasvahappojen (MUFA ja PUFA) ensisijaisia lähteitä. Omega-3 ja omega-6 ovat tärkeitä ravintoaineita broilereille. Omega-6-jäsenet, kuten linoleenihappo, ovat välttämättömiä broilereille, ja niitä on saatava rehun kautta. Kasviöljyt ovat ensisijainen broilerien rehuihin lisätyn omega--6-lähde. Tyydyttymättömät rasvahapot sulavat ja imeytyvät paremmin kuin tyydyttyneet rasvahapot ja tuottavat enemmän energiaa pienemmillä kustannuksilla, mikä lisää tuottavuutta. Omega--6-ravintolisät voivat lisätä lihan rasvahappopitoisuutta ja lisätä painoa, ruhoa, sisäelimiä ja FCR:ää. Myös lihan maun laatu ja antioksidanttipitoisuus paranivat omega-6:n antamisen ja kivennäisaineenvaihduntaan vaikuttamisen jälkeen. Broilerien lisääntymiskyky paranee myös vähentämällä myöhäistä alkiokuolleisuutta, mikä parantaa hedelmällisyyttä, kuoriutuvuutta, siittiöiden laatua ja siittiöiden määrää. Sillä välin broilerien terveydelle omega-6 voialentaa kolesterolitasoja, triglyseridit, erittäinmatalatiheyksinen lipoproteiini, jamatalatiheyksinen lipoproteiini. Se tukee myös auttajasolujen (TH){0}}tukea, kuten IgG-tiittereitä, lisääviä prostaglandiinien, eikosanoidien jaantioksidantteja. Lisäksi se myös tukeetulehdusta estävä. Muut tutkijat ovat laajasti tutkineet ja arvostelleet tutkimuksia omega{0}}:n vaikutuksista siipikarjaan. Samaan aikaan tässä katsauksessa tarjoamme uusia havaintoja aiempien tutkimusten täydentämiseksi. Lisätutkimuksia omega-6:n vaikutuksista muuhun siipikarjaan tarvitaan kuitenkin omega-6:n tehokkuuden määrittämiseksi laajemmin

1. Esittely
Siipikarjanlihan osuus maailman keskimääräisestä 323,25 miljoonan tonnin (mt) tuotannosta viimeisen viiden vuoden aikana oli 122,82 miljoonaa tonnia (mt) eli 37,99 prosenttia [1]. Myös kananlihan tuotanto on lisääntynyt kehittyneissä ja kehitysmaissa viimeisen kuuden vuosikymmenen aikana [2]. Lisäksi korkean proteiinin, vähärasvaisen pitoisuuden ja maukkaan suosion ansiosta kanan odotetaan olevan maailman kulutetuin eläinproteiini vuonna 2020. Siipikarjan ruokavalioon lisätään usein rasvaa ja öljyä energiatiheyden lisäämiseksi. Valitsemalla kivennäisaineita ja lisäravinteita eläville linnuille on mahdollista lisätä kananlihan ravintoarvoa, mikä on yksi sen eduista. Viime vuosina lukuisia öljyjä on käytetty kaupallisesti lipidien toimittamiseen kanoille. Jotkut tutkimukset ovat osoittaneet, että siipikarjan ruokavalion täydentäminen lipideillä muuttaa rehun saantia, energiatehokkuutta, reisi- ja rintalihasten profiilia sekä broilerin lihan laatua [3–5]. Monityydyttymättömien rasvahappojen (PUFA) lisääminen voi nostaa PUFA-pitoisuutta ruhossa. Rasvahapot, erityisesti välttämättömät rasvahapot, ovat lisääntymässä siipikarjan ruokintajärjestelmissä, koska ne parantavat lintujen terveyttä ja tuottavuutta. Terveystietoinen kulttuurimme suosii tasapainoista ruokavaliota vähentääkseen epäsuotuisten terveysvaikutusten riskiä [6]. PUFA on myös lisännyt c-linoleenihappoa sisältävien eläinrehujen kysyntää [7]. c-linoleenihappo (C18 : 3 n - 6) parantaa kanan terveyttä toimimalla anti-inflammatorisena, antitromboottisena, antiproliferatiivisena ja lipidejä alentavana aineena muuttumalla prostaglandiiniksi E1 [8].
Broilerin lihasten rikastaminen PUFA-yhdisteillä, erityisesti omega{0}}- ja omega-6-rasvahapoilla, voi vähentää sydän- ja verisuonisairauksien riskiä ja suojata ateroskleroosilta ja sepelvaltimotaudilta alentamalla kolesterolia ja matalatiheyksistä lipoproteiinia (LDL) tasot veressä ja vähentävät verihiutaleiden aggregaatiota [9]. Omega--6-mekanismeista broilerien suorituskyvyssä on kuitenkin vain vähän tutkimusta. Tämä artikkeli sisältää päivityksen omegan-6 terapeuttisista ominaisuuksista sekä sen alkuperästä, kemiasta, biosynteesistä, imeytymisestä, jakautumisesta, broilerien tuotannosta ja terveydestä.
2. Tiedonkeruu
Tietojen kerääminen sähköisten tietokantojen haun perusteella seuraa aikaisempaa raporttia, kuten PubMed, Elsevier, ResearchGate ja Google Scholar käyttämällä avainsanoja "omega{0}}", "omega{1}} farmakologia", "omega{{2}". } imeytymistä", "omega-6 siipikarjalle", "omega-6 broilereille", "omega-6 broilerien tuotannon tehokkuudelle" ja "omega-6 broilerien terveydelle ." Valitut paperit vuosilta 2006-2022 valittiin sisällön perusteella. Asiaankuuluvat artikkelit, joissa käytettiin aiemmin mainittuja avainsanoja ja jotka on kirjoitettu englanniksi, on sisällytetty.

2.1. Omegan lähteet ja kemia-6.
Lipidien fysikaaliset ja kemialliset ominaisuudet määräytyvät niiden rasvahappopitoisuuden, hiiliketjun pituuden ja kyllästysasteen perusteella. Tyydyttymätön tarkoittaa yhden tai useamman kaksoissidoksen läsnäoloa, kun taas tyydyttynyt tarkoittaa kaksoissidosten puuttumista kemiallisesta rakenteesta [10]. Tyydyttyneiden rasvahappojen hiiliketjun pituuden pidentäminen nostaa rasvan sulamispistettä, kun taas kaksoissidoksen läsnäolo laskee rasvan sulamispistettä [11]. Lisäksi kaksoissidoksen muoto vaikuttaa sulamispisteeseen. Transrasvahappojen sulamispiste on korkeampi kuin niiden cis-isomeerien [12].
Monityydyttymättömien rasvahappojen asyyliketjussa on kaksi tai useampi metyleenikatkoinen kaksoissidosdesaturaatio [13]. PUFA:t voivat sisältää myös karboksyylihapon molekyylin toisessa päässä ja metyyliryhmän toisessa päässä. Tätä rakennetta kutsutaan nimellä Omega ("Ꞷ " tai "n") ja se on jaettu n − 3, n − 6, n − 7 ja n − 9 rasvahappoihin, jotka vastaavat kaksoissidosta, jos tyydyttymättömyys on läsnä [14] . (n−) osoittaa hiilen kaksoissidoksen paikan laskettuna metyylipäästä. Omega-3 ja Omega-6 perheenjäsenet ovat ravitsemuksellisesti välttämättömiä PUFA:ita siipikarjan terveydelle [15]. Kuten taulukosta 1 näkyy, Omega-6-muunnelmia on useita. Palmitoleiinihappoa ja öljyhappoa voi muodostua kehossa aineenvaihduntareittien kautta. Linoleenihappo ja linolihappo ovat kuitenkin välttämättömiä rasvahappoja, jotka on nautittava [14]. Lisäksi suuret määrät monityydyttymättömiä rasvahappoja hapettuvat paljon nopeammin kuin tyydyttyneet PUFA:t, erityisesti kun ne altistetaan lämmölle, valolle, hapelle ja siirtymämetalleille valmistuksen, käsittelyn ja varastoinnin aikana [15, 16]. Konjugoidut linolihapot luokitellaan kuitenkin joskus väärin omega-6 (lyhennettynä −6 tai n −6) rasvahapoiksi. Konjugoidut linolihapot ovat luokka rasvahappoja, joihin kuuluu jopa 56 isomeeriä, joissa on konjugoituja (vierekkäisiä tai vierekkäisiä) kaksoissidospareja oktadekadieenihappoa pitkin (18:2) [17, 18].
Tyypilliset kasviöljyt, kuten auringonkukkaöljy, safloriöljy, palmuöljy, silybum marianum -öljy, seesamiöljy, kurpitsansiemenöljy, maapähkinäöljy, vehnänalkioöljy, riisileseöljy, pellavansiemenöljy ja maissiöljy, ovat n-6 PUFA:n lähteitä. 19–23]. Kuva 1 esittää n − 6 PUFA:n lähteitä. Suurin osa kasveissa ja meriruoissa olevista PUFA-yhdisteistä on cis-konfiguroituja. n – 6 PUFA:ta koostuvat pääasiassa linolihaposta (C18 : 2) ja arakidonihaposta (AA, C20 : 4) [24], kun taas linolihappo saattaa läpikäydä desaturaatiota ja venymistä, jolloin muodostuu arakidonihappoa (ARA, 20: 4n – 6) ja dokosaheksaeenihappo (DTA, 22:4n − 6) [25]. Lisäksi Certık et ai. [26] tunnistivat öljymäiset alemmat rihmasienet rikkaiksi c-linoleenihapon lähteiksi. Näitä sieniä hyödyntämällä solid-state fermentaatiomenetelmässä syntyy c-linoleenihapolla rikastettu biotuote, jota voidaan käyttää suoraan kananrehun lisänä. C-linoleenihapon lähteitä on kuitenkin rajoitetusti, erityisesti kasveissa (esim. mustaherukan, helokki-, purasruoho- tai hampunsiemenet). Solid-state fermentaation (SSF) hyödyntäminen on vaihtoehtoinen menetelmä c-linoleenihapon valmistamiseksi mikro-organismeista. SSF on tuleva bioprosessi, jossa yhdistyvät kosteiden kiinteiden materiaalien (maatalouden sivutuotteiden) sienikulutus (Tamnidium elegans, Cunninghamella-lajit tai Mortierella isabelline) arvokkaiden metaboliittien tuottamiseen kustannustehokkaalla tavalla [27].

2.2. Omega-6-biosynteesi, imeytyminen ja jakautuminen.
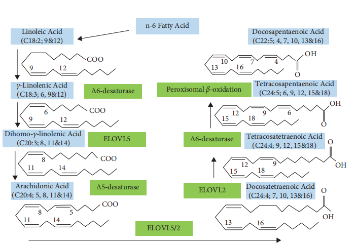
Erityisesti pitkäketjuisia n - 6 ja n - 3 PUFA:ta pidetään välttämättömänä, koska lintulajit eivät pysty liittämään kaksoissidosta yli 19 hiilen 1-12 ja 15 desaturaasin puutteen vuoksi; ne on saatava ruoasta [28, 29]. Pitkäketjuiset PUFA:t syntyvät pääasiassa maksassa [20]. Kun c-linoleenihappo muuttuu eikosapentaeenihapoksi tai dokosaheksaeenihapoksi ja linolihappo arakidonihapoksi, vastaavien prekursorien desaturaatio ja pidentyminen tapahtuu erittäin pitkäketjuisten rasvahappojen ELOVL2 ja ELOVL5 pidentymisen läsnä ollessa, Δ{{15 }}desaturaasi, Δ6-desaturaasia ja peroksisomaalista hapetusta dokosaheksaeenihapon saamiseksi (kuva 2.) [12]. Desaturaasientsyymit omega-3- ja omega-6-reittejä varten ovat kuitenkin identtisiä [29].

Kuva 1: Kasveja, jotka sisältävät runsaasti omegaa-6.
Imeytyvät c-linoleenihapporasvahapot ja linolihappo siirtyvät rasvakudokseen ja muihin kudoksiin. Sitä vastoin arakidonihappoa säilyy enemmän maksassa, pohjukaissuolessa, sydämessä, pernassa, aivoissa ja muissa soluissa (trombosyytit, perifeerisen veren mononukleaarinen (PBMN)) [30]. Lisäksi pitkäketjuisilla tyydyttymättömillä rasvahapoilla on enemmän mahdollisuuksia muodostaa misellejä. Ne voisivat toimia synergistisesti tyydyttyneiden rasvahappojen (SFA) imeytymisessä yhdistettynä tyydyttyneiden rasvahappojen (SFA) kanssa. Lisäksi misellien arvioitu hiukkaskoko on 30-40 ˚A, mikä on riittävän pieni kulkeakseen limakalvosolujen mikrovillien välillä [31]. Yksimahaisilla eläimillä rasvan imeytyminen tapahtuu pohjukaissuolen pään ja sykkyräsuolen pään välillä [32].
Päinvastoin, kun c-linoleenihappoa sisältäviä öljyjä nautitaan suun kautta, c-linoleenihappo imeytyy helposti ja esiintyy aluksi seerumin fosfolipideissä. Aine dispergoidaan sitten eri fosfolipidifraktioihin jatkuvan annostelun jälkeen. Osa saadusta c-linoleenihaposta hapettuu. Loput pitenevät nopeasti dihomo-c-linoleenihapoksi plasmassa, munuaisvaltimossa, maksassa ja aortassa ja voivat myös nostaa arakidonihappoa, vaikkakin yksinomaan plasmassa ja maksassa [33]. Dihomo-c-linoleenihapon ja c-linoleenihapon määrät maksassa olivat verrannollisia läsnä olevan c-linoleenihapon määrään öljyn lähteestä riippumatta, mikä osoittaa, että öljyt imeytyvät tehokkaasti ja että imeytyneen c-linoleenihapon määrä on annoksesta riippuvainen [34].
2.3. Omegan-6 vaikutus broilerin tuotantoon.
Tarjoamalla tuloksena olevalle kudokselle tarvittava rasvahappoprofiili sisältävä lipidiruokavalio mahdollistaa broilerien kudosten rasvahappoprofiilien muokkaamisen. Velasco et ai. [35] osoitti paremman ruokinnan tehokkuuden poikasilla, jotka saivat runsaasti tyydyttymättömiä rasvalähteitä sisältävää ruokavaliota kuin kananpoikoilla, joille ruokittiin runsaasti tyydyttynyttä rasvaa. Lisäksi nykyinen siipikarjanrehu perustuu viljoihin, joissa on korkea n − 6 rasvahappojen suhde n − 3 rasvahappoihin. Tämä rehu johtaa suuriin arakidonihappopitoisuuksiin (20 : 4n - 6) lihassa ja munatuotteissa ja alentaa dokosapentaeenihappoa (DPA, 22 : 5n - 3), eikosapentaeenihappoa (EPA, 20 : 5n - 3) ja dokosaheksaeenihappoa (DHA) , 22: 6n − 3) hapot [23]. Lisäksi broilerit, joita ruokittiin runsaasti linolihappoa sisältävällä ruokavaliolla, kuluttivat vähemmän rehua päivässä kuin ne, jotka eivät saaneet ravintolisää tai vähän linolihappoa sisältävää ruokavaliota [36].
Omega{0}}-lisä antaa myönteisiä tuloksia broilerien suorituskykyyn. Suurin ruumiinpaino, ruhosaanto ja FCR havaittiin, kun linolihappoa lisättiin broilerin rehuun [37]. Pirzado et ai. [38] löysi myös saman tuloksen ja havaitsi, että broilerien rehun muuntosuhteen (FCR) arvot paranivat merkittävästi omega-6:n saamisen jälkeen. Linolihapon lisäyksen myötä kanojen seerumissa havaittiin myös suurempi kloridipitoisuus, mikä saattaa liittyä mahalaukun korkeampaan HCl-pitoisuuden vaatimukseen vastauksena lisääntyneeseen lipidien saantiin ja parantuneeseen kloridi-ionien hallintaan. kehossa [39].
Myös omega-{{0}}-lisä vaikuttaa broilereihin. Gaadin et al. [36], omega-6 lisää sisälmysten painoa; maksa, sydän ja vatsa ovat paljon raskaampia. Lisäksi suhteellisen korkeat n-6 PUFA:n pitoisuudet (jopa 45,0 prosenttia maissiöljyruokavaliossa) tekivät sydämen ja maksan kudoksesta rikkaimmat rasvahappotyypit [40]. Muissa siipikarjalajeissa japanilaisessa viiriäisessä maissiöljystä peräisin oleva 6 prosenttia PUFA:ta osoitti lisääntynyttä tuottavuutta, munasarjan follikulaarista hierarkiaa ja sydämen painoa vahingoittamatta muita sisäelinten elimiä, koska se on hyödyllinen energian ja välttämättömien rasvahappojen lähteenä, antioksidanttina, antiparasiitti ja endokriinisten hormonien esiaste [41–43]. Lisäksi broilerin rintalihan antioksidanttikapasiteettia parannettiin ruokavaliolla, joka sisälsi c-linoleenihappoa ja linolihappoa, kuten aikaisemmassa tutkimuksessa [44] osoitettiin. Kuitenkin Fejerˇc´akov´a et ai. [33] havaitsi, että maksassa arvioitu GPx-aktiivisuus ei olennaisesti vaikuta agromonia ja linoleenihappoa sisältävällä ruokavaliolla.

Omega{0}} voi myös vaikuttaa siipikarjan rasvapitoisuuteen. Tutkimuksen (El-Katcha) mukaan liiallinen käsittely n − 6 -rasvahapoilla kiihdyttää rasvahappojen hapettumista ja siten kiihdyttää eläinten aineenvaihduntaa. Qi et ai. [45] havaitsivat, että ravinnon n − 6/n − 3 PUFA:lla (10:1) oli merkittävä vaikutus kanojen ihonalaisen ja lihaksensisäisen rasvapitoisuuden sekä lihan laatuun (väri ja arkuus). Kemiallisen koostumuksen analyysi paljasti, että linolihapolla täydennettyä ateriaa ruokittujen kanojen rinnassa ja reidessä oli korkeampi rasvapitoisuus [39]. Linolihapon lisääminen broilerien rehuseokseen Haˇsˇc´ıkin et al. [46], lisää kasvun intensiteettiä ja sisäisen, ihonalaisen ja lihaksensisäisen rasvan osuutta.

Lisäksi valittu viljatuote, jossa oli suurempi c-linoleenihappopitoisuus (3.676 1.09 kg-1 vehnäleseissä), lisäsi c-linoleenihapon pitoisuutta tuotettujen kananrintojen lipideissä [47] . Päinvastoin, Oliveira et ai. [48] korostavat c-linoleenihapon merkitystä n - 6 PUFA:n edustajana, jolla on synergistinen vaikutus n - 3 PUFA:n, kuten DHA:n ja EPA:n kanssa, kun taas dihomo-c-linoleenihapolla ja arakidonihapolla on mahdollisesti korkeampi vaikutus. c-linoleenihapon suuremman fraktion vuoksi. Kuitenkin Khatibjoo et ai. [49] raportoivat, että linolihapon suuri pitoisuus linolihapolla ruokittujen broilerien lihassa voisi vähentää kertatyydyttymättömien rasvahappojen osuutta ja lisätä monityydyttymättömien rasvahappojen osuutta. Toinen El-Zenary et al. [50] paljasti, että luuttomien, nahattomien rintojen n - 6 PUFA:n kokonaispitoisuus heijasteli ruokavalion linolihapon pitoisuutta. Yhteensä n − 6 PUFA:ta oli korkein linnuilla, mikä johtui pääasiassa linolihapon korkeammasta konversiosta arakidonihapoksi. Te n − 6 PUFA:ta tai niiden lähteitä, kuten kalaöljy, palmuöljy, soijaöljy ja pellavaöljy, edistävät myös luun muodostumista, kehitystä ja kasvua tehostamalla kivennäisaineenvaihduntaa, erityisesti kalsiumin, sinkin ja magnesiumin aineenvaihduntaa. ne eivät ole käytettävissä iän jälkeen [20].
Tutkimustulokset paljastivat, että Hinai jidori -kalojen arakidonihappopitoisuutta voidaan lisätä arakidonihappoa sisältävällä ravintolisällä ja että korkeamman arakidonihappopitoisuuden omaavalla Hinai jidori -lihalla ja -keitolla oli huomattavasti parempi makuaisti kuin niillä, joiden arakidonihappopitoisuus on alhainen [6] . Arakidonihappo stimuloi TRPM5-kationikanavaa, joka on tyypin II reseptorisolujen makean, umami- ja karvasmakureittien komponentti, kuten Liu et al. [51]. Takahashi et ai. [6] ovat osoittaneet, että arakidonihapon pitoisuutta kananlihassa voidaan muuttaa ravintolisällä arakidonihapolla (AA) ja geneettisellä valinnalla käyttämällä FADS1- ja FADS2-geenien polymorfismia valintamarkkereina. Nämä tekniikat lisäävät kanan suosiota.
Lisäksi todettiin, että 2 prosentin eri lähteiden omega-6-rasvahappojen (erityisesti pellavansiemenöljyn) sisällyttäminen broilerien kasvattajien ruokavalioon saattaa vähentää myöhäistä alkiokuolleisuutta, mikä parantaa hedelmällisyyttä, kuoriutuvuutta ja siittiöiden laatua. , ja siittiöiden määrä [20, 52]. Lisäksi n-6 FA-rikkaalla ruokavaliolla oli suotuisa vaikutus siemennesteen tilavuuteen ja siittiöiden kokonaismäärään, mutta haitallinen vaikutus siittiöiden pitoisuuteen. Lisäksi linnun siittiö sisältää usein suuren osuuden PUFA:ta, erityisesti n − 6 PUFA:ta [49]. Taulukossa 2 on esitetty erilaisten kasvinrehulähteiden, joissa on korkein omega-6-pitoisuus, vaikutukset broilerien suorituskykyyn. Yleensä omega{10}}-lisä parantaa broilerin suorituskykyä lisäämällä kehon painoa ja sisäelimiä, lisäämällä lihan rasvahappojen määrää, vaikuttamalla kivennäisaineaineenvaihduntaan ja parantamalla lisääntymiskykyä.

Kysy lisää:
Sähköposti:wallence.suen@wecistanche.com
Whatsapp/Puh.: plus 86 15292862950
MYYMÄLÄ:
https://www.xjcistanche.com/cistanche-shop
