Kosmeettisten tuotteiden raskasmetallien arviointi ja niiden terveysriskien arviointi
Mar 20, 2022
Ottaa yhteyttä:joanna.jia@wecistanche.com/ WhatsApp: 008618081934791
Hamna Arshad a, Moniba Zahid Mehmood a, Munir Hussain Shah b, Arshad Mehmood Abbasi
Abstrakti
Raskasmetallien saastuminen sisäänkosmeettinentuotteet ovat vakava uhka. Tämä tutkimus tehtiin eri merkkien raskasmetallien (HM) pitoisuuksien arvioimiseksikosmeettinentuotteisiin kiinnittäen erityistä huomiota niiden terveysriskien arviointiin. Viisi raskasmetallia, mukaan lukien Cd, Cr, Fe, Ni ja Pb, mitattiin eri merkeissä voideissa, meikkivoiteissa,valkaisuvoiteet, huulipunat, hiusvärit ja aurinkosuojavoiteet atomiabsorptiospektrometrialla. Kuluttajan terveydelle aiheutuva riski määritettiin käyttämällä systeemistä altistusannostusta (SED), turvallisuusmarginaalia (MoS), vaaraosamäärää (HQ), vaaraindeksiä (HI) ja elinikäistä syöpäriskiä (LCR). Vertailemalla eri tuotemerkkejä aurinkosuojavoiteista osoitti korkeimman Ni-, Pb- ja Cr-pitoisuudet (7,99 ± 0,36, 6,37 ± 0.05 ja {{10}}). 43 ± 0.01 mg/kg, vastaavasti), kun taas huulipunat olivat kohonneet Feat-tasot 12,0 ± 1,8 mg/kg ja Cd oli maksimi emulsioissa (0,26 ± 0,02 mg/kg). Monimuuttuja-analyysi paljasti vahvoja assosiaatioita Cr:n, Ni:n ja Pb:n välillä, kun taas Cd ja Fe osoittivat eroa kontaminaatioiden jakautumisessa ja lähteissä. MoS-, HQ- ja HI-arvot olivat sallittujen rajojen sisällä, lukuun ottamatta voiteita ja aurinkovoidetta, kun taas LCR-arvot ylittivät sallitun rajan kaikissakosmeettinentuotteet paitsi huulipunat. Näiden tuotteiden säännöllinen käyttö voi aiheuttaa vakavia uhkia ihmisten terveydelle, erityisesti ihosyövän pitkäaikaisessa altistumisessa. Siksi kosmeettisten valmisteiden jatkuva seuranta, erityisesti HM:n väärentämisen osalta, olisi otettava käyttöön ihmisten turvallisuuden varmistamiseksi.

Cistanche parantaa ihon valkaisua
1. Esittely
Sovellus erikosmetiikkahenkilökohtainen hoito on kuin vanha ashuman-sivilisaatio. Ajan myötä kosmetiikan kysyntä kasvoi moninkertaiseksi kaikkialla maailmassa. Tämä johtuu pääasiassa lisääntyneestä tietoisuudesta menetelmistä, joilla parannetaan kehon näkemystä (Ullah et al., 2017). Nykyään kosmetiikan käytöstä henkilökohtaiseen hoitoon ja vartalonhoitoon on tullut normaalia kaikkialla maailmassa (EUVL, 2009). Maailman kauneustuotteiden markkinat ovat kasvaneet keskimäärin noin 5 prosenttia vuodessa. On mielenkiintoinen tosiasia, että kosmetiikka- ja hygieniatuotteiden markkinat ovat osoittaneet jatkuvaa ja vakaata kasvua alkuperästään lähtien ja ovat edenneet myös epävakaissa talouksissa (Barbalova, 2011).
Kosmeettiset tuotteet koostuvat erilaisista orgaanisista ja epäorgaanisista materiaaleista, mukaan lukien hydrofiiliset ja hydrofobiset aineet. Värillisen kosmetiikan valmistuksessa käytetään yleisesti mineraalipigmenttejä, mikä johtaa sen saastumiseenkosmeettinentuotteet, joissa on raskasmetalleja (HM), kuten Cu, Ni, Co, Pb, Cr, Cd ja muut alkuaineet. Näistä HM:istä tulee tarkoituksella osa kosmeettisia tuotteita pigmenttien, säilöntäaineiden, UV-suodattimien sekä antiperspiranttien, sienilääkkeiden ja antibakteeristen aineiden muodossa (Burger et al., 2016). On raportoitu, että ihmisen altistuminen UV-säteilylle voi aiheuttaa kroonisia ja akuutteja terveysvaikutuksia ihmisen iholle, silmille ja immuunijärjestelmään. Siten kosmetiikkavalmistajat käyttävät UV-suodattimia tärkeinä ainesosina aurinkovoiteissa ja muissa päivittäisissä kosmeettisissa tuotteissa. UV-suodattimet ovat kuitenkin Suunniteltu kosmeettisille tuotteille, jotka on tarkoitettu levitettäväksi paikallisille ihopinnoille, mutta tuotteiden johdannaiset voivat sitoutua plasman proteiineihin ja kiertää veressä, minkä jälkeen I ja II biotransformaatioreaktiot metaboloituvat maksassa. Myöhemmin ne voivat joko erittyä virtsan mukana tai ne voivat kertyä elimistöön (Locatelli et al., 2019). Jotkut metallit sekä parabeenit sisällytetään säilöntäaineina kosmeettisiin tuotteisiin, koska niillä on antibakteerisia ja sieniä torjuvia ominaisuuksia. Viimeaikaisten tutkimusten perusteella on arvioitu, että säilöntäaineina käytetyt metallit ja parabeenit ovat myös hormonitoimintaa häiritseviä aineita ja voivat imeytyä helposti ihon läpi, mikä aiheuttaa haitallisia vaikutuksia ihmisiin. terveys (Tartaglia et al., 2019; Iavicoli et al., 2009). Joitakin metalliyhdisteitä käytetään rutiininomaisesti kosmetiikassa, koska niillä on kuorivia ja kuorivia ominaisuuksiavaalentaaiho (Burger et al., 2016). Metallikomponenttien käyttö perustuu kuitenkin tietyn maan lainsäädäntölakeihin (OJEU, 2009). Raskasmetalleja lisätään myös vahingossa epäpuhtauksina eri vaiheissa.kosmeettinentuotantoa. Valmistusprosessin raaka-aineena erityisesti lisäaineiden ja värimineraalien lisääminen aiheuttaa saastumista. Lisäksi niiden valmistukseen käytettävä vesi voi sisältää myös metallisia epäpuhtauksia. Lisäksi erilaisten instrumenttien käyttö kosmetiikkateollisuudessa lajittelu-, valmistus- ja pakkausprosessien aikana voi myös aiheuttaa HMs-kontaminaation (Łodyga Chrus´cin´ ska et al., 2018).
Pieniä määriä eräitä myrkyllisiä metalleja (kuten Cd ja Pb) on löydetty monista tuotteista, kuten hammastahnasta, kasvomeikistä, huulipunasta jne. (Li et al., 2015). On myös raportoitu, että luonnolliset ainesosat, kuten kasvipohjaiset materiaalit, ovat suurin raskasmetallikontaminaation lähdekosmetiikka(Bocca et al., 2014). Kansainväliset järjestöt ovat suositelleet myrkyllisten metallien määrän mittaamista raaka-aineena käytetyissä kasveissa sekä lopputuotteissa. Kuten aiemmin on raportoitu, myrkyllisiä metalleja voi olla yrteissä ja kasveissa johtuen aikaisemmasta lannoitteiden, hyönteismyrkkyjen käytöstä tai niiden viljelystä teollisuusalueiden lähellä. Siksi pääasiallisia analyyttisiä menettelyjä tulee noudattaa raaka-aineen raskasmetallipitoisuuden vähentämiseksi ja lopputuotteiden laadun varmistamiseksi (Locatelli et al., 2014).
Aikaisemmin niin oletettiinkosmetiikkaliittyvät vain paikallisiin vaikutuksiin, mutta viime vuosikymmeninä on herättänyt huolta siitä, että tietyt kosmetiikan aineet voivat tunkeutua syvälle ihoon ja altistua elimille. Tämä sekoitti ihotestejä tarkistaakseen tiettyjen aineiden tunkeutumis-/adsorptiokyvyn tuotteista sekä niiden myrkyllisyyden (Nohynek et al., 2010). Vaikka ihon uloin suojakerros (stratumcorneum) ei salli laajaa tunkeutumista, kosmeettisissa tuotteissa esiintyvät HM:t voivat päästä verenkiertoelimistöön (Boccaet al., 2014). Joillakin metalleista on taipumus kertyä marrasketeen ja aiheuttaa allergisia vaikutuksia, kun taas toiset diffundoituvat hikoilussa, kyynelissä ja talin erittyessä ja voivat tunkeutua ihon lisäosien kautta tai solujen ja solunsisäisten reittien kautta ja päästä ihon verenkiertojärjestelmään. ihmiskehon. Siksi monien kosmeettisten tuotteiden päivittäinen käyttö voi johtaa lisääntyneeseen HM-altistumiseen ihmiskehoon (Brzóska et al., 2018).
Lisääntynyt altistuminen raskasmetalleille voi aiheuttaa lukuisia terveysongelmia, kuten ihoallergioita, vakavaa punoitusta, turvotusta/ihohaavoja, solukuolemaa, DNA-vaurioita, oksidatiivista stressiä, neurotoksisuutta, muistin menetystä, lisääntymishäiriöitä ja karsinogeenisiä terveysvaikutuksia (Kim et al., 2015; Bocca ym., 2014; Senesseet ai., 2004; Agoramoorthy ym., 2008; Amry ym., 2011; Smith ym., 2015). Tässä yhteydessä tämä tutkimus keskittyi raskasmetallipitoisuuksien määrittämiseen valituissa kosmeettisissa tuotteissa kosmeettisten tuotteiden sisältämille metalleille altistumiseen liittyvien terveysriskien arviointi. Tämän tutkimuksen odotetaan tarjoavan keskeistä tietoa kosmeettisten tuotteiden pitkäaikaiseen käyttöön liittyvistä terveysriskeistä.

luonnonkosmetiikkatuotteetcistanche-kehonrakennus
2. Materiaali ja menetelmät
2.1. Näytekokoelma
Yleisimmin käytettykosmeettinenTuotteet (yli 70 prosentin esiintymistiheys) otettiin huomioon ja kerättiin analysoitavaksi esittelytutkimuksessa. Käyttötiheys laskettiin kysyjästä poimittujen tietojen perusteella, jotka yli 100 käyttäjää täytti tämän tutkimuksen aikana. Varmistettiin, että valitut näytteet edustavat eniten saatavilla olevia, suosituimpia ja yleisimmin käytettyjä tuotetyyppejä. Paikallisesti valmistetut ja tuodut kosmeettiset tuotteet (n=189) kerättiin kolmena kappaleena paikallisilta yhteisöiltä ja markkinoilta Abbottabadista, Haripurista ja Mansehrasta Pakistanista. Thekosmeettinentuotteet poimittiin kuuteen eri ryhmään; emulsiot (30 merkkiä), meikkivoiteet (9 merkkiä),valkaisuvoiteet, huulipunat, hiusvärit ja aurinkovoide (kukin 6 merkkiä). Näytteet säilytettiin huoneenlämmössä ennen analyysiä.
2.2. Pesu
Pesu on kriittisin vaihe tarkan raskasmetallianalyysin kannalta. Kaikkien lisävarusteiden pesu tehtiin Olmedon et al. (2010). Kaikki lasitavarat pestiin ensin pesuaineella ja huuhdeltiin sitten toistuvasti vesijohtovedellä. Sen jälkeen lasitavaraa liotettiin HNO3-liuoksessa (5 prosenttia) noin 24 tuntia. Sitten huuhtelu suoritettiin deionisoidulla vedellä ja kuivattiin 80 C:ssa 48 tuntia ennen käyttöä.
2.3. näytteen valmistus
Kerätyt näytteet digestoitiin käyttämällä happoseosta (HNO3, H2S04 ja HC104 suhteessa 1:1:1) noudattaen Saeedin et ai. (2011) ja Ayenimo et al. (2010) muokkauksin. Noin 1,0 g kutakin näytettä (kolmena kappaleena) otettiin 50 ml:n erlenmeyerkolviin, minkä jälkeen lisättiin 5 ml HN03:a ja seosta pidettiin yön yli huoneenlämpötilassa. Sen jälkeen sisältö kuumennettiin keittolevyllä nostaen lämpötilaa hitaasti 90 C:een ja ruskeiden huurujen ilmaantumisen jälkeen seoksen annettiin jäähtyä. Sitten lisättiin H2SO4:a (5 ml) ja kuumennettiin uudelleen 30–60 minuuttia, minkä jälkeen jäähdytettiin huoneenlämpötilaan. Lopuksi lisättiin 5 ml HCl04:a ja sisältöä pilkottiin, kunnes saatiin kirkas liuos. Digestoinnin jälkeen näytteet jäähdytettiin huoneenlämpötilaan ja suodatettiin Whatman-suodatinpaperin nro 41 läpi ja lopullinen tilavuus (50 ml) säädettiin deionisoidulla vedellä. Myös aihiot valmistettiin noudattaen samaa menettelyä jokaisen eränäytteen (n=5) kanssa. Kaikki digestoidut näytteet säilytettiin jääkaapissa jatkoanalyysiin asti.
2.4. HM:iden kvantifiointi
Valittujen metallien kvantifiointi suoritettiin käyttämällä atomiabsorptiospektrofotometriä (Perkin Elmer AAnalyst 700) niiden ominaisella aallonpituudella. Kalibrointiviivamenetelmää käytettiin optimaalisissa analyyttisissä olosuhteissa (taulukko S1) valittujen HM:ien analysointiin. Metallien standardivarastoliuoksia (1000 mg/l) käytettiin työstandardien valmistukseen tuoreena analyysipäivänä. Tulosten vastatarkastus varmistettiin sisäisellä standardianalyysillä sekä standardireferenssimateriaaleilla (NIST SRM 1515), jotka osoittivat erittäin hyvää talteenottoa (97–102 prosenttia). Kaikki mittaukset tehtiin kolmena kappaleena.
2.5. Tilastollinen analyysi
Metallien jakautumiseen liittyvät tilastolliset parametritkosmeettinentuotteet laskettiin käyttämällä STATISTICAa (Stat Soft Inc, 1999). Muut tilastolliset analyysit, mukaan lukien korrelaatio ja ANOVA, tehtiin käyttämällä SPSS:ää (V13.0), kun taas graafit piirrettiin Sigma Plotin (V1 2.5) ja Bio-Vincin (1.1.5) avulla. Analyyttiset tiedot esitettiin keskiarvona ± SD kunkin näytteen kolmen rinnakkaisanalyysin osalta.
2.6. Terveysriskien arviointi
2.6.1. Turvamarginaali (MoS)
Maailman terveysjärjestön (WHO) mukaan MoS-arvo 100 asti on hyväksyttävä ja tuote, jonka MoS-arvo on yli 100, katsotaan turvalliseksi käyttää. Kuluttajaturvallisuutta käsittelevä tieteellinen komitea (SCCS) tunnustaa, että monissa tavanomaisissa MoS-laskelmissa alkuaineen oraalisen biologisen hyötyosuuden oletetaan olevan 100 prosenttia, jos suun kautta imeytymistä koskevia tietoja ei ole saatavilla. SCCS:n kosmeettisille valmisteille vahvistamat ihon pinta-alan (SSA) ja levitetyn määrän (AA) standardiarvot on annettu taulukossa S2. Kuitenkin katsotaan sopivaksi olettaa, että enintään 50 prosenttia suun kautta annetusta annoksesta on systeemisesti saatavilla (SCCS, 2012).
2.6.2. Hazardous osamäärä (HQ) ja vaaraindeksi (HI)
2.6.2. Vaaraosamäärä (HQ) ja hazard index (HI) Hazard osamäärä (HQ) on aineen systeemisen altistuksen annoksen (SED) suhde kunkin metallin ihon viiteannokseen (RfD) (USEPA, 2011; Liu et al., 2013). ). HQ-arvo<1 is="" considered="" to="" be="" safe="" while="" the="" greater="" than="" 1="" is="" unsafe="" for="" human="" health.="" the="" hq="" level="" was="" calculated="" using="" the="" formula:="" hq="" ¼="" sed="RfD" ð4þ="" hazard="" index="" (hi)="" is="" the="" summation="" of="" hazard="" quotients="" for="" all="" the="" metals="" under="" study.="" it="" is="" computed="" in="" order="" to="" evaluate="" human="" health="" risk="" due="" to="" the="" exposure="" of="" all="" metallic="" impurities.="" the="" hi="" value="" was="" calculated="" using="" the="" following="" relationship="" as="" reported="" previously="" (el-aziz="" et="" al.,="" 2017):="" hi="" ¼="" xhq="" ¼="" hqcd="" þ="" hqcr="" þ="" hq="" ni="" þ="" hqfe="" þ="" hqpd="" ð5þ="" 2.6.3.="" lifetime="" cancer="" risk="" (lcr)="" lifetime="" cancer="" risk="" is="" usually="" investigated="" for="" carcinogenic="" metals.="" in="" the="" current="" study,="" lcr="" was="" determined="" by="" using="" following="" relationship="" (el-aziz="" et="" al.,="" 2017):="" lcr="" ¼="" sed="" ="" sf="" ð6þ="" where="" sf="" represents="" the="" carcinogenicity="" slope="" factor="" (mg/kg/d)1="" and="" it="" approximates="" the="" cancer="" risk="" per="" unit="" intake="" dose="" of="" an="" agent="" to="" cause="" cancer="" over="" an="" average="" lifetime.="" the="" reported="" slope="" factor="" for="" pb,="" cr,="" ni="" and="" cd="" are="" 0.0085,="" 0.5,="" 0.91="" and="" 6.7="" (mg/kg/d)1="" ,="" respectively="" (iris,="" 2007;="" usepa,="" 2010;="" who,="">1>

cistancheihoa valkaiseva vaikutus antioksidanttiin
3. Tulokset ja keskustelu
3.1. Raskasmetallien jakautuminen voiteisiin
Kaikkiaan analysoitiin 30 eri merkkiä voidetta (n=90), ja mitatut HM-tasot erosivat merkittävästi p < 0.05="" eri="" merkkien="" välillä="" (taulukko)="" 1).="" l1="" kuvasi="" korkeimman="" cd-tason="" (2,13="" ±="" 0,15="" mg/kg),="" jota="" seurasivat="" l19="" ja="" l20="" (0.27="" ±="" 0,02="" ja="" 0,26="" ±="" 0,01="" mg/kg,="" vastaavasti),="" kun="" taas="" l4-l11-,="" l22-="" ja="" l23-merkeissä="" cd-metalli="" oli="" havaittavissa="" olevan="" rajan="" alapuolella.="" mitatut="" cd-pitoisuudet="" kaikissa="" kosteusemulsionäytteissä="" olivat="" kanadan="" viranomaisen="" vuonna="" 2008="" asettaman="" sallitun="" 3="" mg/kg:n="" rajan="">kosmeettinentuotteet (HCSC,2{{10}}12). Tässä tutkimuksessa havaittu Cd:n vaihteluväli oli lähes vertailukelpoinen Ababnehin ja Al-Momanin aiemmin raportoimaan (2018), mutta se oli pienempi kuin Borowskan ja Brzóskan raportoima (2015). Cr-konsentraatiota osoittavat tulokset paljastivat, että 12 tuotemerkin (L4–L13, L22 ja L23) Cr-taso oli havaitsemisrajan alapuolella. Cr:n maksimipitoisuus määritettiin L20:ssa (0,69 ±0,02 mg/kg). Vertailun vuoksi Cr-taso oli hieman korkeampi näytteissämme kuin aikaisemmassa raportissa (Borowska ja Brzóska, 2015). Cr oli kuitenkin USFDA:n asettaman turvallisen 50 mg/kg:n rajan sisällä (USFDA, 2013). Yleensä Fe katsotaan välttämättömäksi mineraaliksi, mutta sen ylittäminen voi aiheuttaa vakavia terveysongelmia (Miyajimaet al., 2002). Kaikissa kosteusemulsionäytteissä mitatut Fe-tasot vaihtelivat välillä 0,27-7,01 mg/kg. Suurin pitoisuus havaittiin L24:ssä (7,01 ± 0,14 mg/kg), kun taas alhaisin oli L23:ssa (0,27 ± 0,19), joka tuotiin Etelä-Afrikasta.

Ni-pitoisuus oli suurin L17:ssä (6,29 ± 0.12 mg/kg), kun taas alhaisin taso laskettiin L27:ssä (0.01 ± 0,05 mg/kg) .L18:ssa Ni oli kuitenkin havaittavissa olevan rajan alapuolella (taulukko 1). Todettiin, että näytteidemme Ni-pitoisuus oli vertailukelpoinen aikaisempien raporttien kanssa (Ababneh ja Al-Momani, 2018; Borowskaand Brzóska, 2015). USFDA:n ja Cosmetica Italian asettama suositeltu nikkelitaso on 200 mg/kg (USFDA, 2013) kosmetiikassa. Kuitenkin on ehdotettu, että ihon suojaamiseksi Ni- ja Cr-pitoisuuden tulisi olla<1.0 mg/kg="" in="">1.0>kosmeettinentuotteet, erityisesti ne, jotka joutuvat suoraan kosketukseen ihon kanssa, ja {{0}},5 mg/kg Ni-pitoisuus riittää aiheuttamaan ihotulehduksen (Basketter et al., 2{{10}} {{20}}3). Pb:n mitattu taso vaihteli välillä 0,07 - 8,29 mg/kg. Korkein Pb-pitoisuus oli L20:ssa (8,29 ± 0,09 mg/kg), jota seurasivat L19 (7,94 ± 0,10 mg/kg) ja L17 (7,53 ± 0,31 mg/kg), kun taas L27:llä oli alhaisin taso (0,07 ± 0,17 mg/kg). . Näytteissämme mitatut Pb-tasot olivat Kanadan ja USFDA:n asettamien säädösten rajoissa, jotka ovat 10 mg/kg ja 20 mg/kg (USFDA, 2013). Lisäksi Pb-pitoisuuden vaihteluväli voidenäytteissä oli lähes samanlainen kuin aiemmin raportoitu taso (Borowska ja Brzóska, 2015), mutta pienempi kuin Ababneh ja Al-Momani (2018) inbody lotions raportoivat.
3.2. Raskasmetallipitoisuus hiusvärissä
Mitatut HM:n tasot kuudella hiusvärimerkillä (n=18) on esitetty taulukossa 1. Cd:ssä havaittiin suhteellisen laaja vaihtelu analysoitujen hiusvärinäytteiden joukossa. Missä D6:lla oli korkein Cd-taso (0,17 ± 0.02 mg/kg), mikä erosi merkittävästi muista hiusvärinäytteistä (p < {{12).="" }}.{19}}5).="" kuitenkin="" cd="" oli="" havaitsemisrajan="" alapuolella="" d1:ssä="" ja="" d3:ssa.="" melkein="" samanlaiset="" cd-pitoisuudet="" ovat="" raportoineet="" aiemmin="" (0.01–2,47="" mg/kg)="" brzóska="" et="" al.="" (2018)="" sekä="" ozbek="" ja="" akman(2016)="" eri="" merkkisissä="" hiusväreissä.="" cr-metalli="" oli="" korkein="" d5="" (0,13="" ±="" 0,02="" mg/kg),="" kun="" taas="" muissa="" näytteissä="" cr:n="" laskeva="" järjestys="" oli:="" d4=""> D3 > D2 > D6. Sitä vastoin D1:ssä Cr oli havaittavissa olevan rajan alapuolella. Lisäksi näytteissämme mitatut Cr-tasot olivat paljon alhaisemmat kuin aiemmin raportoitu (Borowska jaBrzóska, 2015; Brzóska et al., 2018). Rautaa havaittiin suurimmassa osassa hiusvärinäytteitä D6:ta lukuun ottamatta. Korkein Fe-pitoisuus oli D5:ssä (0,42 ± 0,22 mg/kg). Sitä vastoin D1-, D2-, D3-, D4- ja D5-jaksoissa Fe-pitoisuudessa ei ollut merkittävää eroa (p <>
Samoin D2-, D3-, D4- ja D5-näytteille lasketussa Ni-pitoisuudessa ei ollut merkittävää eroa (3,79 ± 1.00, 3.{{10}}6 ± 0 0,88, 3,82 ± 0,27 ja 4,18 ± 0,23 mg/kg). Sen sijaan D6:n mitattu Ni-taso (taulukko 1) oli alhaisin (0.08 ± 0.{{40}}2 mg/kg) .Nämä arvot olivat samankaltaisia kuin Ozbekin ja Akmanin (2016) aiemmat raportit hiusväreistä (0.03–0,37 mg/kg), mutta vähemmän kuin Brzóska et al. (2018). Näytteessä D5 ja D4 oli korkein Pb-pitoisuus 5,84 ± 0,19 ja 5,67 ± 0,23 mg/kg, kun taas D6 sisältää vähiten Pb:tä (0,40 ± 0,11 mg/kg), joka oli merkitsevästi erilainen arvolla p < 0,05="" kuin="" muilla.="" hiusvärien="" merkkejä.="" lisäksi="" mitatut="" pb-tasot="" hiusväreissä="" olivat="" vähemmän="" kuin="" brzóska="" et="" al.="" (2018),="" mutta="" ne="" olivat="" hieman="" korkeammat="" kuin="" ozbek="" ja="" akman="">
3.3. Mittaa HM:n tasot säätiössä
Yhdeksässä eri kansallisessa ja kansainvälisessä tuotemerkissä (n {{0}}) Cd-pitoisuus vaihteli välillä 0.06 - {{1{{20} }}}.16 mg/kg meikkivoide F9- ja F3-näytteissä (taulukko 1). Suurimmassa osassa näytteitä Cd:ssä ei ollut merkittävää eroa (p < 0.05).="" suhteellisesti="" mitatut="" cd-tasot="" näytteissämme="" olivat="" alhaisempia="" kuin="" aiemmin="" raportoitu="" eli="" 0.="" 18–29,1="" mg/kg="" (nnorom="" et="" al.,="" 2005)="" ja="" jopa="" 5.09="" mg/kg="" (ababneh="" ja="" al-momani,="" 2{{57)="" }}18)="" nigerian="" ja="" jordanian="" markkinoilta="" kerätyissä="" säätiönäytteissä.="" f9="" sisältää="" korkeimman="" cr-tason="" (0,30="" ±="" 0,02="" mg/kg),="" jota="" seuraa="" f5,="" f8="" ja="" f7="" (0,28="" ±="" 0,02,="" 0,26="" ±="" 0,02="" ja="" 0,26="" ±="" 0,01).="" mg/kg).="" ja="" nämä="" arvot="" olivat="" vertailukelpoisia="" aikaisempien="" raporttien="" kanssa="" (borowska="" ja="" brzóska,="" 2015).="" perustenäytteiden="" fe-pitoisuus="" vaihteli="" suuresti="" 45,4="" ±="" 11,7="" mg/kg="" (f1)="" arvoon="" 2,29="" ±="" 1.00="" mg/kg="" (f6).="" nämä="" arvot="" olivat="" kuitenkin="" pienempiä="" kuin="" borowska="" ja="" brzóska="" (2015).="" ni-tasot="" vaihtelivat="" välillä="" 4,79="" -="" 6,34="" mg/kg="" f1:ssä="" ja="" f7:ssä="" (p="">< 0,05).="" nikonpitoisuudet="" näytteissämme="" olivat="" verrattavissa="" aiemmin="" säätiössä="" raportoituihin="" (ababneh="" ja="" al-momani,="" 2018),="" mutta="" olivat="" pienempiä="" kuin="" borowska="" ja="" brzóska="" (2015)="" ovat="" kuvanneet.="" pb:n="" pitoisuus="" analysoiduissa="" näytteissä="" vaihteli="" välillä="" 1,94="" ±="" 0,16="" -="" 3,95="" ±="" 0,15="" mg/kg="" f7:ssä="" ja="" f5:ssä,="" vastaavasti="" (p="">< 0,05).="" nämä="" arvot="" olivat="" kuitenkin="" pienempiä="" kuin="" aikaisemmat="" raportit="" (ababneh="" ja="" al-momani,="" 2018;="" borowska="" ja="" brzóska,="">
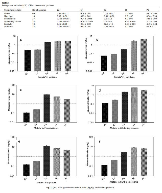
3.4. Vertaileva arvio HM:n pitoisuudesta kosmeettisissa tuotteissa
Vertaileva arvio keskimääräisistä raskasmetallipitoisuuksistakosmeettinentuotteet on yhteenveto taulukossa 2. Kadmiumille altistuminen johtaa useisiin haitallisiin terveysvaikutuksiin, joista merkittävimmät ovat sydämen vajaatoiminta, munuais-, maksa- ja aivovauriot (Agoramoorthy et al., 2008). Joissakin tapauksissa , vakavaa silmän keratiittia oli havaittu altistuttaessa kohlissa olevalle korkealle Cd-pitoisuudelle (Amry et al., 2011). Keskimääräinen Cd:n pitoisuus vaihteli välillä 0,06 ± 0,01 - 0,26 ± 0,02 mg/kg hiusväreissä ja vastaavasti emulsioissa. Nämä arvot olivat USFDA:n (2016) asettaman turvallisen rajan (3 mg/kg) sisällä kosmeettisissa valmisteissa. Sekä Cr (III) että Cr (VI) voivat vaikuttaa haitallisesti ihoon ja aiheuttavat kosketusallergioita ja ihosyöpää (Boccaet al., 2014). Cr:n keskimääräisen pitoisuuden nousevassa järjestyksessäkosmeettinentuotteet olivat: Sunblock > huulipuna >valkaisu cream > lotion > foundation > hair dye. Average concentration of Cr from 0.43 ± 0.01 to 0.09 ± 0.01 mg/kg was lower than the maximum limit (50 mg/kg) set by USFDA (2016). Iron is considered as one of the essential nutrients like Zn, but a higher concentration of Fe in cosmetic products causes the death of body cells (Miyajima et al., 2002), thus leads to colorectal cancer (Senesse et al., 2004). In the present study, the average concentration of Fe varied from 0.31 ± 0.01 to 12.0 ± 1.75 mg/kg in hair dyes and lipstick, respectively. In other products decreasing order of Fe was: foundation,>aurinkovoide > valkaisuvoide > voide.

Sisäänvalkaisuvoiteet Kuva (1d), Ni:n keskimääräinen pitoisuus oli korkein 6,24 ± 0.04 mg/kg, jota seurasivat Pb ja Fe (3,25 ± 0,09,2,15 ± 0,06). mg/kg), kun taas Cd oli suhteellisen alhaisempi. Mitatut Ni-tasot olivat verrattain korkeammat kuin aiemmin raportoidut tasotvalkaisukerma Nigeriasta, mutta Cr-, Feand Cd -tasot olivat huomattavasti alhaisemmat kuin Nigeriassa (Iwegbue et al., 2015; Ababneh ja Al-Momani, 2{{10}}18) . Huulipunaissa Fe oli johtava keskimääräisellä pitoisuudella 12.0 ± 1,75 mg/kg (kuva 1e), jota seurasivat Ni ja Pb (6,64 ± 0.03 ja 4,49 ± 0,34 mg/kg). Nämä arvot olivat sallittujen rajojen sisällä. Lisäksi keskimääräiset Pb- ja Fe-pitoisuudet olivat vertailukelpoisia (Lim et al., 2018), mutta Cd, Cr ja Ni olivat korkeampia kuin aiemmin (Ababneh ja Al-Momani, 2018; Lim et al., 2018), kun taas Cd-pitoisuus oli enemmän tai vähemmän sama kuin Ababneh ja Al-Momani (2018). Aurinkosuojanäytteissä kuvassa (1f) Ni:n (7,99 ± 0,36 mg/kg) keskimääräinen pitoisuus oli korkein, sen jälkeen Pb:n ja Fe:n (vastaavasti 6,37 ± 0,05, 2,52 ± 0,04 mg/kg), kun taas Cd:n pitoisuus oli alhaisin (0,132 ± 0,02). mg/kg).
3.5. Monimuuttuja-analyysi
Erilainen monimuuttuja-analyysi ns. Pearsonin korrelaatiokerroin, hierarkkinen klusterianalyysi (HCA) ja pääkomponenttianalyysi (PCA) suoritettiin kosmeettisten tuotteiden HM-kontaminaation luonnollisten ja ihmisperäisten lähteiden tunnistamiseksi. Taulukon 3 korrelaatioanalyysin tulokset osoittavat, että ne olivat erittäin merkittäviä (p < {="" {1}}.01)="" positiiviset="" assosiaatiot="" cr-pb:n="" välillä="" samoin="" pb:llä="" oli="" vahva="" positiivinen="" korrelaatio="" cd-="" ja="" cr-insunblock-näytteiden="" kanssa="" (taulukko="">
Erot HM-pitoisuuksissa eri luokkien välilläkosmeettinenTuotteet ja niiden jakelutavat HCA:ssa ja PCA:ssa liittyvät mahdollisesti raaka-aineen tyyppiin ja lähteisiin, joista raaka-aine kerätään. Esimerkiksi Fe-yhdisteet, kuten rautakarbonaatit, rautahydroksidi, rautaoksidit (rautaoksidimusta, rautaoksidin punainen ja keltainen rautaoksidi) ja Cr-yhdisteet, mukaan lukien kromi(III)oksidi, kromi(III)hydroksidi, lisätään tarkoituksella väripigmentit kosmetiikkatuotteissa. Samoin Cd:tä käytetään kosmetiikassa, koska sillä on kyky tuottaa erilaisia värejä yhdistettynä muihin komponentteihin (Godt et al., 2006). Esimerkiksi kadmiumsulfidin käyttö johtuu sen keltaisesta väristä, ja se voi myös kehittää värejä oranssista mustaan yhdessä lisääntyneen seleenimäärän kanssa. Samoin kadmiuminkeltaiseen lisätään viridiaania (Cr(III)oksidia), jolloin muodostuu vaaleanvihreä seos, jota kutsutaan kadmiuminvihreäksi (Bocca et al., 2014). Lisättävä määrä riippuu säädösten rajoista (EU, 2009), mutta sama metalli voi sisältää epäpuhtautta tai sitä on lisätty tarkoituksella (Bocca ym., 2014). Muut metallit, kuten Pb, Cd ja Ni, voivat kertyä epäpuhtauksina eri vaiheissakosmeettinentuotanto, pääasiassa lisäaineiden ja värimineraalien lisääminen. Lisäksi liuottimien, veden ja erilaisten koneiden käyttö kosmetiikkateollisuudessa lajittelu- ja valmistusprosessien aikana voi myös aiheuttaa HMs-kontaminaation (Łodyga-Chrus´cin´ska et al., 2018).
3.5. Terveysriskien arviointi
3.5.1. Ei-karsinogeeninen riski
Systeeminen altistuminenkosmeettinentuote ennustaa kemikaalien määrän, joka joutuu ihmiskehoon eri altistusreittejä pitkin. Systeemisen altistuksen annostuksen (SED) lasketut arvot 50 prosentin ja 100 prosentin biologisella saavutettavuudella valituille HM:ille eri kosmeettisissa valmisteissa on esitetty taulukossa 4. Todettiin, että 50 prosentin biologisella saavutettavuudella Cd:n ja Cr:n SED-arvot vaihtelivat. 5,85 10 7 - 2,21 10 2 ja 1,31 10 6 - 3,22 10 2 mg/kg/d. Fe, Ni ja Pb ovat kuitenkin välillä 4,67 10 5 - 1,90 10 1, 2,59 10 25 - 5,101 ,10. 4,80 10 1 mg/kg/d, vastaavasti. Samoin Cd:n, Cr:n ja Fe:n SED-tasot 100-prosenttisella biologisella saavutettavuudella vaihtelivat välillä 1,17 10 6 - 4,41 10 2, 2,62 10 6 - 6,44 10 2 ja 9,34 10 5 - 3,80 10 1 mg/kg. Ni:n ja Pb:n vastaavat SED-tasot ovat välillä 5,19 10 5 - 1,20 100 ja 3,51 10 5 - 9,60 10 1 mg/kg/d 100-prosenttisella biologisella saavutettavuudella. SED:n lasketut arvot olivat korkeampia kuin El-Azizet al. (2017) eri kasvohoidoissakosmeettinenTuotteet. Huulipunan osalta havaittiin enemmän tai vähemmän samanlaisia SED-tasoja edellisessä tutkimuksessa (El-Aziz et al., 2017). Lisäksi kosmeettisten tuotteiden HM:n SED-arvot olivat melkein verrattavissa Iwegbuen et al. (2016) lukuun ottamatta aurinkovoidenäytteitä, joissa esillä olevassa tutkimuksessa kirjattiin verrattain korkeampia tasoja.

Kosmeettisten tuotteiden sisältämille metalliepäpuhtauksille altistumisesta ihmisten terveydelle aiheutuvat riskit arvioitiin Marginof Safety (MOS) -menetelmällä. Kosmeettisten tuotteiden HM:iden arvioidut MoS-pitoisuudet 50 prosentin ja 100 prosentin biologisella saavutettavuudella on esitetty taulukossa 5. Hiusvärinäytteissä, meikkivoimissa,valkaisuvoiteen ja huulipunan MoS oli yli 100, mikä paljasti, että arvioidut näytteet olivat turvallisia käyttää. Hiusnesteissä ja aurinkosuojavoiteissa MoS-arvot Cd:lle, Cr:lle ja Pb:lle olivat kuitenkin alle 100, mikä osoitti, että nämä tuotteet eivät ole turvallisia käyttää, etenkään HMs-kontaminaation suhteen. Erilaisissakosmeettinentuotteet analysoivat El-Aziz et ai. (2017) ja Iwegbue et al., (2016) MoS-tasot todettiin yli 100, kun taas huulipunajen MoS oli melkein samanlainen kuin tässä tutkimuksessa.
Samoin voiteen ja aurinkosuojan HI-tasot olivat suurempia kuin 1 sekä 50- että 100-prosenttisella biologisella saavutettavuudella, mikä osoitti, että näiden tuotteiden liiallinen käyttö voi aiheuttaa terveysriskejä kuluttajille. Hiusvärien, meikkivoiteen, valkaisuvoiteen ja huulipunan tapauksessa HI-arvot olivat paljon<1, interpreting="" that="" the="" samples="" were="" safe="" for="" human="" health.="" hq="" and="" hi="" values="" reported="" by="" elaziz="" et="" al.="" (2017)="" were="" also="">1,><1 for="" different="" facial="" cosmetics="" which="" are="" more="" or="" less="" closer="" to="" the="" values="" obtained="" in="" the="" present="">1>
3.5.2. Elinikäinen syöpäriski (LCR)
Kansainvälinen syöväntutkimuslaitos (IARC, 2012) on listannut kromin (Cr), lyijyn (Pb), nikkelin (Ni) ja kadmiumin (Cd) syöpää aiheuttaviksi HM:iksi. Kaksi pääreittiä, joiden kautta HMscan pääsee kehoon, ovat joko nieleminen tai ihon kautta imeytyminen. HM:t eivät ole biohajoavia, joten ne kerääntyvät elimistöön pitkän aikaa. Tämän seurauksena ne eivät vain muuta solun toimintoja, vaan myös aiheuttavat häiriöitä solunsisäisissä mekanismeissa (Stavrides, 2006). Siksi sellaiset epäpuhtaudet, jotka aiheuttavat oksidatiivista stressiä, DNA-vaurioita ja solukuolemaa, lisäävät syöpään liittyviä sairauksia (Kim et al, 2015). Elinikäinen syöpäriski (LCR) on arvio mahdollisesta syöpäriskistä käyttäjille, jotka ovat altistuneet HM:illekosmeettinenTuotteet. USEPAn mukaan LCR:n hyväksyttävä alue on 1 10–6 ja 1 10–4 (Lohet al., 2007). LCR laskettiin syöpää aiheuttaville metalleille (Pb, Ni, Cr ja Cd) 50 prosentin ja 100 prosentin biologisella saavutettavuudella (kuva 5).

Kaikista analysoiduista HM:istä elinikäinen syöpäriski arvioitiin sallittua rajaa korkeammaksi ja kosmeettisilla tuotteilla saattaa olla elinikäinen syöpäriski paitsi huulipunat. Todennäköisin syy on se, että huulipunaa levitetään suhteellisen pienelle alueelle suhteellisen pienempi määrä. Tilanne on kuitenkin hälyttävä ja näiden tuotteiden jatkuva käyttö pitkän ajan kuluessa voi aiheuttaa syöpää käyttäjille. Aiemmassa tutkimuksessa on raportoitu, että eri kasvojen kosmeettisten tuotteiden LCR oli alle 10 6, mukaan lukien huulipuna (Lim et al., 2018).
4. Yhteenveto
Yleensä Cr, Ni ja Pb olivat korkeampia aurinkosuojanäytteissä, kun taas Cd ja Fe olivat suurimmat eri merkeissä voideissa ja huulipunaissa. HMsin-kosmetiikkatuotteiden pitoisuuksien kasvu johtui pääasiassa käytettyjen raaka-aineiden tyypistä ja lähteestä, käsittelytekniikoista, varastoinnista ja kuljetustavasta.
Cr:n, Ni:n ja Pd:n läheinen yhteys sekä Cd:n ja Feasssedin välinen ero monimuuttujaanalyysillä paljasti niiden kontaminaatiolähteiden samankaltaisuuden ja vaihtelunkosmeettinenTuotteet. Terveysriskin arviointi paljasti, että yleensä MoS-, HQ- ja HI-arvot olivat sallittujen rajojen sisällä hiusväreille, meikkivoimille,valkaisuvoiteet ja huulipunat, mutta eivät olleet hyväksyttävän valikoiman ulkopuolisia voiteita ja aurinkovoidetta. LCR-arvo ylitti sallitun rajan kaikissa kosmeettisissa tuotteissa huulipunaa lukuun ottamatta. Huolimatta siitä, että tutkituissa näytteissä HMs-pitoisuus oli säädösten rajoissa, päivittäinen altistuminen näille tuotteille voi aiheuttaa kumulatiivisia vaikutuksia, kuten suuren ihosyövän ja muiden kroonisten terveysongelmien riskin. Siksi turvallisemmat rajat HMsalongille ja niiden laadunvalvonta pitäisi olla pakollisia. Lisäksi jatkuvat seurantaohjelmatkosmeettinenTuotteet, erityisesti HM:n väärentämisen osalta, olisi otettava käyttöön ihmisten turvallisuuden takaamiseksi.

cistanche-kehonrakennus
